OpenAI 前 CTO Mira Murati 的创业公司又有大动作。
继 10 月初发布首款产品 Tinker 之后,Thinking Machines Lab(TML)今天公布了又一项重磅研究成果——
同策略蒸馏(On-Policy Distillation)
一种能以 1/10 成本达到强化学习同等效果的大模型后训练新方法。

博客地址:
https://thinkingmachines.ai/blog/on-policy-distillation/
这篇博客的主要作者是前 OpenAI 研究员 Kevin Lu,与 Thinking Machines 团队合作完成,他曾领导 GPT-4o mini 发布,并参与了 o1-mini、o3、GPT-5 等多个重要模型的研发。他的出手,分量十足。

从 2 月成立至今,这家估值 120 亿美元的 AI 新锐已经发布了首款产品 Tinker(模型微调 API),启动了研究博客 Connectionism,并陆续公开了多篇技术博客。
这次的同策略蒸馏研究,是 TML 在开放科研承诺下的又一次兑现。
On-Policy 蒸馏策略在数学推理任务上,同策略蒸馏用 1800 GPU 小时就达到了传统强化学习需要 17920 GPU 小时才能实现的性能——成本直降 90%。
后训练的两难困境
关注大模型“后训练”(Post-training)的朋友们,是否也注意到了一个普遍的困境?目前似乎只有两条路可选:
-
同策略 (On-policy) : 像自己摸索下棋,没有教练,全靠自我探索试错。 -
异策略 (Off-policy) : 像观摩大师棋谱,但只能学习大师在“舒适区”内的固定走法。
但是,其实我们真正需要的是一个“坐在你旁边、看你亲自下棋、并对你的每一步棋都进行实时指导”的私教 ~
大模型训练的三个阶段
要理解这项工作的意义,我们首先要明确大语言模型(LLM)的训练阶段,一个模型要在特定领域展现出专家级的水平,通常需要三个阶段:
-
预训练(Pre-training): 教授通用能力,如语言、推理和世界知识。 -
中训练(Mid-training): 传授领域知识,如代码、医疗数据库或公司内部文件。 -
后训练(Post-training): 引导出目标行为,例如遵循指令、解决数学问题或聊天。
在特定领域,经过强化训练的小型模型,其表现往往优于大型通用模型。使用小型模型的好处显而易见:可本地部署(隐私安全)、易于持续训练(更新迭代)、节省推理成本。
而 TML 这项工作,瞄准的就是“后训练”这个关键阶段 ~
目前,模型后训练主要存在两种技术路线:
技术路线一:On-policy 同策略强化学习的困境
这个路线主要是以牺牲效率以换取稳定性,规定用于更新策略的数据,必须由当前正在优化的策略(即“学生”模型自身)实时生成:
学生模型自身采样轨迹,并为这些轨迹分配奖励(例如,由一个判别器或“教师”模型来评估输出质量)。通过在“亲身经历”的样本上训练,学生模型能更直接地学会修正自身的错误。
但是这种方法数据效率极低,一旦策略更新,所有先前采集的数据都将“作废”并被丢弃。这使得算法极度依赖“新鲜数据”,在机器人技术等数据采集成本高昂的领域(可能需要数百万甚至数十亿次交互)中几近不切实际。
而且强化学习的奖励信号通常非常稀疏。
例如:
学生模型解一道数学题,最终答案“21”是错的。RL 只反馈“错误”(一个标量奖励),而学生并不知道是运算顺序错了,还是计算本身错了。
这种“只问结果、不问过程”的稀疏反馈进一步拉低了学习效率。
技术路线二:Off-policy 异策略蒸馏的陷阱
牺牲长期稳定性以换取高样本效率,该方法依赖一个外部来源(如强大的“教师”模型)生成“完美答案”或示范轨迹,构成一个静态数据集,学生模型通过模仿这些高质量数据进行训练。
这种方法样本效率极高且信号密集。
但是,学生模型是在教师数据的“舒适区”内学习的:
一旦学生在推理时犯了一个教师数据中“从未出现过”的小错误,它就会进入一个未知的状态空间(即“分布外”区域)。
这种早期的微小偏差会不断累积,导致“一步错、步步错”,最终性能崩溃。
一个形象的比喻
TML 用一个比喻总结了这场困境:
在策略 RL 是你自己下棋,没有教练。赢或输的反馈与你自己的下法直接相关,但你每局只收到一次反馈,且不知道哪一步是关键。
离策略蒸馏是你观看一位特级大师下棋。你观察到的都是高超棋步,但这些棋步是在新手根本不会遇到的棋局状态下走出的。
后训练的核心诉求诞生了:我们能否将强化学习在策略相关性(从自身错误中学习)与蒸馏的密集奖励信号(每一步都有指导)结合起来?
同策略蒸馏:两全其美的第三条路
因此,TML 提出希望能够训练出一个紧凑模型来解决如下的数学问题:

可以通过强化学习进行策略内训练,通过评估每个学生尝试解决问题的过程来评分。这种评分可以由人类完成,或者由一个能够可靠地获得正确答案的“教师”模型完成:

TML 提出可以使用一种称为蒸馏的机制:训练学生模型来匹配“教师”模型的输出分布。不再依赖学生的“试错”,而是在教师生成的完整轨迹上进行训练,这些轨迹包含了所有中间的“思考步骤”。
这样一来,监督信号就变得极其密集。学生在序列的每一步都能获得教师的“思考过程”作为指导,这种指导既可以是教师完整的“下一 Token 分布”(常被称为“Logit 蒸馏”),也可以只是教师最终采样的 Token 序列。

实践证明,仅使用采样序列也能提供对教师分布的无偏估计,并达到同等优秀的训练目标。
在学习过程中,学生模型会对比教师的“标准答案”与“自己的预测”,并根据二者之间的差异(即自己生成该 Token 的概率有多低)来重点更新参数。
打个比方:
如果你在学习国际象棋,在策略 RL 就好比在没有教练指导的情况下自己下棋。赢棋或输棋的反馈与你自己的下法直接相关,但每局只收到一次反馈,而且不会告诉你哪些棋步对结果贡献最大。离策略蒸馏则类似于观看一位特级大师下棋 —— 你观察到的是非常高超的棋步,但这些棋步是在新手玩家很少会遇到的棋局状态下走出的。

这就好比有一位老师来为你自己的每一步棋打分,从「大错特错」到「妙不可言」。
事实证明,通过蒸馏大型教师模型来训练小型模型是一条非常有效的路径,能够让小模型遵循指令进行数学和科学推理、从医疗笔记中提取临床信息,以及参与多轮聊天对话等复杂任务。

TML 在策略蒸馏工作借鉴了 DAGGER(Ross et al, 2010)。
DAGGER 是一种迭代式的 SFT 算法,其核心机制就是让教师来评估学生模型所实际访问过的状态。
同时,它也与“过程奖励建模”(PRM, Lightman et al, 2023)有相似之处。
PRM 是一种强化学习方法,它会对学生模型“思维链”中的每一步都进行精细评分,而不是只看最终结果。
他们扩展了 Agarwal et al.(2023)和 Qwen3 团队(2025)之前的在策略蒸馏工作:
复刻了 Qwen3 的成果,即通过在策略蒸馏在推理基准上实现了同等性能,而成本仅为 RL 的一小部分。
实现具体步骤:
https://github.com/thinking-machines-lab/tinker-cookbook/tree/main/tinker_cookbook/recipes/distillation
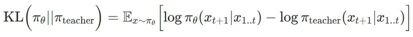
技术实现:反向 KL 散度的巧妙应用
在技术实现上,在策略蒸馏可使用多种损失函数来为学生轨迹评分。为简洁起见,TML 选择了逐 token 的反向 KL 散度 (Reverse KL) —— 即在给定相同先前轨迹的条件下,学生(π_θ)和教师(π_teacher)在每个 token 上的输出分布之间的散度:

奖励函数的目标是最小化反向 KL,这会强力促使学生在自己实际所处的每一种状态下,都去模仿教师的行为。当学生行为与教师完全一致时,反向 KL 散度为零。
非常有创新性的地方是:
他们使用了零折扣因子 (discount factor of zero),这意味着在任何给定的时间步,学生模型只被要求优化“眼前的下一个 token”,而无需考虑遥远的未来 token,这大大简化了训练。
最后,这种方法在计算资源上极为高效:
-
无需等待完整轨迹:不需要等一个长序列采样完成才能计算奖励,因此可以使用更短或部分的轨迹进行训练,极大加快了迭代速度。 -
“廉价”的教师查询:查询教师的对数概率仅需大模型进行一次前向传播;而真正生成轨迹的“苦力活”则是由更小、更廉价的学生模型完成的。 -
不需要单独的奖励模型或标注模型
ML 列举了一个真实的例子,来展示教师模型是如何“打分”一个错误的学生轨迹的,它要求模型做出一个关键观察:
-
问题:关于冰块在煎锅里会发生什么。 -
正确答案:“B. 0”(因为冰块在煎锅里会融化)。 -
学生模型的错误:学生模型(Qwen3-4B)错误地将其视为一个纯粹的数学问题,完全忽略了“煎锅”这个物理背景。

在 TML 的可视化图中,颜色越深,代表该 token 受到教师模型(Qwen3-235B,它正确解决了此问题)的惩罚(即高反 L 散度)越高。
TML 工程师_没有_从零开始写一套新代码,而是巧妙地“魔改”了 Tinker 中一个现成的 RL 训练脚本,把所有“脏活累活”(采样、策略梯度)都复用了。
传送门在此,想抄作业的自取:
https://thinkingmachines.ai/blog/on-policy-distillation/(https://github.com/thinking-machines-lab/tinker-cookbook/blob/main/tinker_cookbook/rl/train.py)
这个“魔改”思路总共分四步:
-
首先,初始化一个“教师”客户端。但注意,用的是“采样客户端”,不是完整的训练客户端。潜台词是:“教师您动嘴就行(提供 Logits),不用您动手(反向传播梯度)。” -
和标准强化学习一样,让学生模型自己去跑,生成一堆轨迹(答卷)。RL 脚本会忠实记录下学生的“内心想法”(即它在每个 token 上的对数概率 )。 -
把学生的“答卷”提交给教师模型,教师过目一遍,给出它在_一模一样_的 token 上的“标准答案”分数。两者一减,前面提到的“反向 KL”奖励就到手了。 -
核心创新-“注入”奖励: 传统 RL 算法是靠“优势”函数来判断“好坏”并更新模型的。TML 直接“狸猫换太子”,把这个“优势”强行设置为“负的反向 KL”。强化学习脚本“浑然不知”,以为自己拿到了一个超高质量、超密集的逐-token 奖励,于是兢兢业 Cye-ye 地完成了学生的训练更新。
伪代码如下:

实验验证:10 倍成本降低不是吹牛
TML 将对比“策略内蒸馏”与其他“最后阶段”技术(如继续 SFT、RL)的优劣。
实验一:蒸馏以获得推理能力
使用蒸馏来训练 Qwen3-8B-Base(学生)的数学推理能力,教师为 Qwen3-32B,所有实验都以 SFT(在教师生成的静态数据集上微调)作为起点,使用 OpenThoughts-3 数据集。
实验结果:
-
在 40 万个提示上对 Qwen3-8B-Base 进行全参数微调,AIME'24(数学基准)得分达到 60%。

TML 将这个 60% 的模型视为“检查点”,对比几种后训练方法冲刺 70% 的成本。
-
方法 1 继续 SFT (异策略) :根据对数线性趋势推断,模型需要额外的 160 万提示(总计约 200 万)才能达到 70%。这不仅成本高昂,还依赖“Scaling Law”不失效。 -
方法 2 强化学习(同策略):Qwen3 技术报告提到,在类似 SFT 基础上,通过 17,920 GPU 小时的 RL,AIME 得分达到 67.6%。TML 估算这与 200 万 SFT 提示的训练成本大致相当。 -
方法 3 策略内蒸馏: TML 复现中,从 60% 的 SFT 检查点开始,在策略内蒸馏仅用约 150 个步骤就达到了 70% 的 AIME 成绩。

TML 用 FLOPs 进行了成本对比。结论是:
-
如果 SFT 数据集是“现成”的,在策略内蒸馏的成本降低了 9 倍。 -
在更现实的场景中(需要为新任务从头生成 SFT 数据),在策略内蒸馏的总成本降低了约 30 倍。

实验二:用于个性化的蒸馏
蒸馏的另一大用例是个性化。TML 展示了在策略内蒸馏如何解决“持续学习”中的“灾难性遗忘”问题。TML 希望模型首先能够掌握公司内部文档(知识,用“内部 QA”评估) ,其次保持强大的指令遵循能力(行为,用 IF-eval 评估)。
在过去,训练新知导致“灾难性遗忘” ,如果使用内部文档数据微调模型时,模型“知识”水平(内部 QA-eval)上升,但“行为”能力(IF-eval)急剧下降。
于是,TML 开始了一系列补救:
-
尝试 1:混合数据 (结果是失败) :TML 尝试将内部文档与聊天数据(Tulu3)混合训练。虽然能缓解遗忘,但没有任何混合比例能维持原始的 IF-eval 性能。 -
尝试 2:LoRA (结果是失败):使用 LoRA 约束更新,IF-eval 性能依然不足,且学到的知识也更少。
于是,TML 提出在策略蒸馏采取两步走:
-
先用“文档 + 聊天”混合数据对模型进行 SFT(此时 IF-eval 性能已下降)。 -
然后,在 Tulu3 提示上,使用模型的早期版本(Qwen3-8B)作为教师,进行在策略蒸馏,以“重新唤起”丢失的能力。
在策略蒸馏上,TML 提出的两步走几乎完全恢复了 IF-eval 上的性能,且没有损失任何新学到的“知识”。



本质上,这是将语言模型本身(高概率行为)视为一个“奖励模型”。任何开源的指令调优模型,只要能访问 compute_logprobs,都能胜任这个“教师”角色。
结语
不愧是 TML,总能一针见血。
作为行业观察者,TML 的这项工作与其说是一个新算法,不如说是一个“灵魂拷问”:我们是否在盲目地崇拜强化学习昂贵的“探索”过程,而忽视了其背后惊人的“算力浪费”?
TML 向我们证明,SOTA 的能力不一定需要从零“探索发现”,它们完全可以被高效地“复制继承”。用“巧劲”(高效蒸馏)来破解“蛮力”(昂贵强化学习)~



