书接上文,咱们继续来聊聊数据嵌入和向量化。

我们知识库的数据经过清洗和分块后,就需要进行向量化,然后存储在向量数据库中。
完整的RAG流程如下:

向量长啥样
密集向量一般会有64 ~ 1536个维度,维度越多,能表示的精度越高,但相应的存储和计算成本越高。
# 原文
“AI-Tech实验室”
# 密集向量
[
0.11878310581111173,
0.9694947902934701,
0.16443679307243175,
0.5484226189097237,
0.9839246709011924,
0.5178387104937776,
0.8716926129208069,
0.5616972243831446,
...
]
为啥要向量化
传统的数据检索采用的是关键字匹配的方法。
但是精度有限,无法理解近义词、同义词。
# 原文
北京紫禁城中有大约186万件文物。
# 关键词检索
Q: 紫禁城有多少文物
A: 186万件
# 近义词、同义词检索效果较差
Q: 故宫有多少文物
A:不知道
换个说法,基本上传统的搜索策略就不行了。
向量在存储中的样子大概长这样:

语义上越相近的内容,距离越接近
通过向量检索,我们就可以极大地提升数据召回的精度了。
如何向量化
一般需要用到 Embedding Model (嵌入模型)。
嵌入模型也是一种预训练模型,通过预先训练,能够理解词跟词之间的关联关系。
常见的嵌入模型:
|
|
|
|---|---|
|
|
|
|
|
|
|
|
|
|
|
|
|
|
|
当然国内各大AI厂商也有自己的嵌入模型。
比如:
Qwen3-Embedding
Doubao-embedding
通过本地部署或者调用API的方式即可使用。
import OpenAI from 'openai';
const openai = new OpenAI({
apiKey: "sk-xxxxxx",
baseURL: 'https://dashscope.aliyuncs.com/compatible-mode/v1',
});
const embedding = async (text) => {
const response = await openai.embeddings.create({
model: "text-embedding-v4",
input: text,
});
return response.data[0].embedding;
};
向量化之后,需要把数据存储到向量数据库中,常见的向量数据库:
|
|
|
|---|---|
|
|
|
|
|
|
|
|
|
|
|
|
|
|
|
|
|
|
如果是个人本地学习,建议使用Milvus Lite 作为向量数据库。
密集向量与稀疏向量
我们在使用Coze、dify、FastGPT这类智能体平台搭建知识库的时候,往往会遇到一些名词,比如:全文检索、混合检索、语义检索等。这都是啥意思?
稀疏向量
上面提到的向量示例和向量嵌入模型,基本上都属于密集向量
# 密集向量
# 所有的维度都是连续有值的
[
0.11878310581111173,
0.9694947902934701,
0.16443679307243175,
0.5484226189097237,
0.9839246709011924,
0.5178387104937776,
0.8716926129208069,
0.5616972243831446,
...
]
# 稀疏向量
# 大多数维度值为0,只有少数维度有值,看起来比较“稀疏”
[{
0:0,
1:0,
...
34:0.5,
35:0,
...
443:0,
444:0.6
445:0,
...
5364:0.4
}]
# 通常表示的时候会去掉0维度的向量
[{
34:0.5,
444:0.6,
5364:0.4
}]
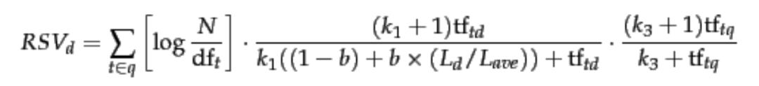
TF-IDF / BM25算法
TF-IDF算法通过对全文进行统计算法,最终把文档转化为一组稀疏变量。
其中:
-
TF指的是某个词在全文中出现的“词频”,出现次数越多,TF越大 -
IDF称为逆向文档频率,某个词出现的频率越多,IDF权重越低,比如“好的,没问题”这种词虽然出现频率很高,但其实没有检索的实际意义,出现频率更少的更有可能是实际有意义的词汇。
BM25是TF-IDF的演进算法

咱们不需要特别去理解BM25的算法细节,只需要知道:
BM25是一种通过统计公式计算关键词关联度的算法
既:它其实并不理解文章的意思,但通过某种统计规律“猜出”查询关键词和原文的关联关系。
平时大家见到的“全文检索”,大概率就是基于BM25的稀疏变量检索方法。
SPLADE
SPLADE Model也是一个预训练模型,它利用现有的语言模型基于人工标注的搜索/排序数据进行训练,得到最终的结果。
因此,通用数据的处理上,SPLADE 一定比简单的 BM25 表现好。
但是咱们制作知识库,一般都是使用企业内部的私有知识,跟SPLADE的预训练数据并不一致,所以效果也不一定就比BM25更好。
具体使用哪种策略,要根据实际的业务场景决定。
混合检索、全文检索、语义检索
其实通过上面的内容,大家应该也能猜到大概了。既:
-
语义检索:其实对应的就是密集向量检索(Dense Embedding) -
全文检索:对应的是稀疏向量检索(Sparse Embedding) -
混合检索: 对应是以上两种模式结合的检索方案。
举个例子
现在有一个关于“雪花啤酒”的知识库,分段存储在向量数据库中
# 知识库分段内容
[{
name: '对于消费者而言,雪花代表了高性价比和多元化的选择,从日常佐餐到潮流聚会均可覆盖。'
},{
name: '国际:百威、科罗娜、喜力(在华通过雪花渠道销售)。'
},{
name: '品牌历史起源于1957年成立的沈阳啤酒厂。1994年华润收购沈阳啤酒厂,并与SABMiller合作成立华润雪花,正式进入啤酒行业。'
},
{
...
}]
# Step1: 文本嵌入
# 使用Embedding Model + SPLADE进行向量化嵌入。
# vector是密集向量
# sparse是稀疏向量
[
{
name: '对于消费者而言,雪花代表了高性价比和多元化的选择,从日常佐餐到潮流聚会均可覆盖。',
vector: [
0.11878310581111173,
0.9694947902934701,
...
],
sparse: [{
34: 0.32,
67: 0.64
...
}]
},
{
name: '国际:百威、科罗娜、喜力(在华通过雪花渠道销售)。',
vector: [
0.9992090731236536,
0.8248790611809487,
...
],
sparse: [{
342: 0.42,
679: 0.641
...
}]
},
{
name: '品牌历史起源于1957年成立的沈阳啤酒厂。1994年华润收购沈阳啤酒厂,并与SABMiller合作成立华润雪花,正式进入啤酒行业。',
vector: [
0.8761291569818763,
0.07127366044153227,
...
],
sparse: [{
3: 0.21,
437: 0.22
...
}]
},
];
# 用户问题
雪花啤酒成立时间?
# Step2:查询问题向量化
{
name: '雪花啤酒成立时间?',
vector: [
0.3761291569818763,
0.12127366044153227,
...
],
sparse: [{
5: 0.41,
35: 0.62
...
}]
}
# Step3: 语义检索
# 语义检索结果
# 分数越低代表距离越近,相关度越高。
{
score: 0.512241005897522,
name: '雪花啤酒(Snow Beer)是中国最知名的啤酒品牌之一,隶属于华润雪花啤酒(中国)有限公司,由华润集团与全球啤酒巨头SABMiller合资创立。'
},
{
score: 0.5282324552536011,
name: '雪花啤酒以“年轻化、多元化”为品牌战略,主要产品包括主流系列、高端系列及国际品牌。'
},
{
score: 0.5613145232200623,
name: '品牌历史起源于1957年成立的沈阳啤酒厂。1994年华润收购沈阳啤酒厂,并与SABMiller合作成立华润雪花,正式进入啤酒行业。'
}
# Step4: 全文检索
# 全文检索结果
# 分数越高,相关性越大
{
score: 0.31,
name: '自2006年起,雪花销量连续多年全球第一,2022年销量约1100万千升,占中国啤酒市场约30%份额。'
},
{
score: 0.52,
name: '品牌历史起源于1957年成立的沈阳啤酒厂。1994年华润收购沈阳啤酒厂,并与SABMiller合作成立华润雪花,正式进入啤酒行业。'
},
{
score: 0.11,
name: '雪花推行“零碳工厂”计划,减少水资源消耗和碳排放,并开展“雪花勇闯'
}
# Step5: 排序后返回
# 最终结果
# 通过综合加权排序后得到最终结果
# 并召回完整的分段
A: 雪花啤酒(Snow Beer)是中国最知名的啤酒品牌之一...的详细介绍:
1. 品牌历史与发展
起源:雪花啤酒的前身是沈阳啤酒厂,成立于1957年。1994年,华润集团收购沈阳啤酒厂,正式进入啤酒行业,并与SABMiller合作成立华润雪花。
快速扩张:通过兼并收购地方品牌...保持至今。
国际化:2018年...国际化布局。
...
结语
我们在实际搭建知识库的时候,往往会采取多种向量检索和存储的方案。通过多路召回“海选”出每个小组的TopK个结果,然后进入淘汰赛阶段,优中选优,找到关联度最高的结果。


