前言
前段时间Manus一夜爆火,内测邀请码一度被炒到10万着实令人震惊。对Manus还不了解的小伙伴可以看下面的Manus简介。
对以往实战案例感兴趣的小伙伴也可以看往期:
-
MCP UI设计稿一键转前端代码” data-itemshowtype=”0″ target=”_blank” linktype=”text” data-linktype=”2″>【Cursor实战】Cursor+Figma MCP UI设计稿一键转前端代码
-
【Cursor实战】0基础UI小白如何快速拥有一个产品原型
-
【Cursor实战】Cursor+Figma MCP通过对话直接生成设计稿
-
【Cursor实战】如何快速实现3D动画效果
-
【Cursor实战】使用Cursor+高德MCP成为行程规划达人
Cursor版本
当前Cursor版本:0.48.9
Manus简介
Manus是一款由Monica.im团队开发的全球首款通用型AI助手,其核心功能是将用户的思维转化为实际行动,通过多智能体架构和自然语言处理技术实现复杂任务的自动化处理。这款产品于2025年3月正式发布,目前仍处于内测阶段。
官网地址:https://manus.im/

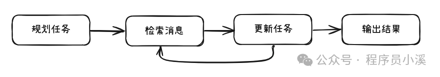
Manus工作流程
官网示例链接:https://manus.im/share/brWKUSp51ItvVMBpcXNCZ1?replay=1
Manus的工作流程会先分析拆解任务并存入到 todo.md 保存为清单,根据任务清单依次检索信息和更新任务状态,所有任务完都成后输出最终结果



任务流程图大致如下:

借鉴这个思路,我们完全可以通过一个 AI模型+思考规划工具+检索消息工具 工作流程来完成类似任务。
前期准备
这次主要会用到两个MCP,Playwright MCP 和 Sequential Thinking MCP
-
Playwright MCP:
-
Playwright MCP是微软提供的,Playwright 提供了浏览器自动化功能,让大模型可以像我们一样正常的打开和浏览网页。
-
这个MCP主要让模型具有浏览器自动化能力
-
Sequential Thinking MCP:
-
Sequential Thinking MCP是MCP官方提供的,可以拆解复杂任务,而且随着对任务理解的加深,会修订和精炼内容
-
这个MCP主要让模型具有任务拆解以及阶段性反思总结的能力
配置Playwright MCP
Playwright MCP默认调用的是Chrome浏览器,如需使用其他浏览器,可以根据Playwright MCP文档配置
Github地址:https://github.com/microsoft/playwright-mcp

进入Cursor设置页面找到 MCP,点击【Add new global MCP Server】,打开mcp.json文件配置MCP


{"mcpServers": {"playwright": {"command": "npx","args": ["@playwright/mcp@latest"]}}}配置完成后等待MCP状态变为绿色即可
配置. MCP
Github地址:https://github.com/modelcontextprotocol/servers/tree/main/src/sequentialthinking
在Cursor
mcp.json中配置如下:
{"mcpServers": {"sequential-thinking": {"command": "npx","args": ["-y","@modelcontextprotocol/server-sequential-thinking"]}}}配置完成后等待MCP状态变为绿色即可
Cursor开启Auto-Run
在Cursor配置【Features】中找到【Enable auto-run mode】勾选配置,
auto-run配置允许Cursor自动调用工具或执行命令时无需请求权限确认如果担心全自动模式会出问题 ,可以对一些Command命令进行限制,添加为需要二次确认
使用流程
调研报告
我们可以让Cursor借助 Sequential Thinking MCP 和 Playwright MCP 帮我们做调研工作,规划任务、搜集信息、做总结及报告输出。比如我们让Cursor做一个“MCP的调研报告”,我们可以这样写提示词:
帮我查找mcp相关资料并整理成一份让外行小白也能快速看懂的mcp调研报告,注意遵循以下工作流程:- 先用`sequential-thinking mcp`进行思考,制定任务规划- 然后调用`playwright mcp`进行信息查找- 最后再用`sequential-thinking mcp`检查、总结和输出- 输出报告使用HTML、TailWindCSS格式输出到`report`文件目录,风格简约,大厂审美输入提示词后,Cursor调用Sequential Thinking MCP思考、规划任务,接着调用Playwright MCP打开Chrome浏览器进行信息检索
可以看到此时Playwright MCP正在操纵Chrome浏览器查询MCP相关信息
信息收集完成后会再次调用Sequential Thinking MCP进行检查、总结
Cursor限制了工具调用次数,如果提示如下内容,直接继续任务即可
等待Cursor完成任务后,最终输出预览效果如下:
出行规划
使用这个工作流同样可以用来做旅游出行规划,只需对提示词稍做修改
我准备从北京到大理游玩,帮我制定一个3天2晚的旅行计划,过程中不要询问我任何问题,注意遵循以下工作流程:- 先用`sequential-thinking mcp`进行思考,制定任务规划- 然后调用`playwright mcp`进行信息查找- 最后再用`sequential-thinking mcp`检查、总结和输出- 旅行计划使用HTML、TailWindCSS格式输出到`travel`文件目录,风格简约,大厂审美输入提示词后,Cursor便会根据提示词要求执行工作流调用
sequential-thinking mcp会对需要进行分析、拆解和执行
在需要收集信息的地方使用Playwright MCP调用Chrome浏览器检索相关消息
工作流执行过程中经常提示如下问题,目前不清楚是不是升级版本的问题
遇到该问题直接输入“继续任务”,让Cursor继续执行
旅行规划输出完成后,双击HTML入口文件在浏览器中打开,最终预览效果如下:
总结
Cursor与MCP的结合无疑可以做更多事情,但一直令人担心的上下文长度问题可能也会如期而至,在使用 Sequential Thinking + Playwright MCP 构建思维链获取信息总结的场景更是会频繁触发,在Cursor中这种MCP强强联合的使用方式是可行的,但是需要更多支持。
常见问题
配置Playwright MCP失败
有时Cursor配置Playwright MCP会出现失败的情况,可以将命令在终端命令行执行看是否有错误
这个问题是由于
@playwright/mcp@latest依赖的zod-to-json-schema版本不对造成的,直接到提示的路径/Applications/MxSrvs/cache/nodejs/_npx/9833c18b2d85bc59/node_modules/下将zod-to-json-schema删除,再次执行npx -y @playwright/mcp@latest尝试项目地址
项目放到Github了,感兴趣的小伙伴可以自行玩耍
Github地址:https://github.com/MisterZhouZhou/auto-thinking-search-mcp-server
点击关注,及时接收最新消息





















