

基本介绍

相关研究梳理
本文将围绕“LLM究竟能否应用于社会科学研究,有哪些潜在问题,以及有哪些可能解决方案?”这三个问题进行相关研究梳理。

图4. 相关研究梳理

LLM应用于社会科学模拟
LLM能够应用于计算社会科学 研究2筛选了25个代表性计算社会科学基准,将其整理为分类或生成任务,使用F1分数和人类评分评测了LLM进行计算社会科学能力。实验发现,LLM能够达到与人类相当的水平,并能够生成超过人类的高质量文本,但未超过微调后的LLM。
LLM可以代替人类群体进行社会科学模拟 Gati Aher等人[11]提出了图灵实验(Turing Experiment)方法,选取四个经典的社会学实验,通过设定不同的名称和性别,在整个人类群体维度上考察LLM能否模拟具有代表性的参与样本。他们发现,使用LLM作为参与者能够重现实验结果,并且能够抓住人类行为中的性别偏差,但也发现了过于理想化的偏差。


图5. LLM能够复现社会学实验 [11]
LLM能够预测社会科学实验结果 研究12选取了涵盖多个学科领域的70项全国代表性的调查实验,涉及476种实验处理效应。GPT-4通过模拟美国代表性样本,对实验刺激生成对参与者的反应的预测。实验发现,GPT-4的预测能够和真实实验效应达到r=0.85的高相关性,且对于不在GPT-4训练数据中的研究也有高预测准确性。

图6. LLM预测结果与实际实验效应相关性高 [12]
LLM能够模拟特定人类亚群 研究13在美国政治和公众舆论话题上进行了人类亚群体态度和行为的模拟。GPT-3生成的反应与人类样本的反应在内容、语调和模式上高度一致,表明其能够模拟人类亚群体的态度和行为。

图7. GPT – 3使用了与人类相似的词集合[13]
[11] Aher G V, et al.Using large language models to simulate multiple humans and replicate human subject studies[C] International Conference on Machine Learning. PMLR, 2023:337-371.
[12] Hewitt L, et al. Predicting results of social science experiments using large language models[J]. Preprint, 2024.
[13] Argyle L P, et al.Out of one, many: Using language models to simulate human samples[J]. PoliticalAnalysis, 2023, 31(3): 337-351

LLM进行社会模拟的问题
模拟一致性差 研究14在10个计算社会科学相关的话题上进行了LLM模拟的可靠性评估,即LLM生成的响应是否与预定义的角色特征一致。大多数LLM在模拟中表现良好,但一些LLM在模拟中表现出显著的不一致性,对同一问题的不同表述给出了不同的答案。

图 8. LLM生成响应不一致图示 [14]
回答多样性差且不稳定 研究15考察了LLM能否代替人类调查数据来反映公众意见,结果发现尽管LLM能较好地体现公共意见的总体平均值,但在多样性、准确估计相关性以及数据的稳定性和可重复性方面存在严重问题,对提示词和模拟时间敏感。

图 9. 不同人群的平均意见分数 [15]
LLM不能很好地代表人群观点 研究16探讨LLM所反映的观点与人类观点之间的对齐情况.研究发现,LLM只能表达某些群体的主导观点,且这种一致性不能跨主题保持,而某些人口群体的观点在所有模型中都未能得到很好表达.在适当提示下,特定群体的观点一致性能得到一定程度的提高,但未解决问题.

图 10. (a) LLM在不同群体的观点上的一致性; (b) 在适当提示下LLM在特定群体观点上的一致性有一定提高 [15]
错误刻画与扁平化 Angelina Wang等人在Nature Machine Intelligence发表文章[17]表明LLM在赋予性别、种族等社会身份后,代表的观点出现了错误刻画和扁平化现象.首先,LLM的输出更倾向于反映外群体对该群体的看法,而不是内群体自身的看法。其次,LLM倾向于生成单一化的群体形象,忽略了群体内部的多样性。这将会进一步强化刻板印象,抹除边缘化群体声音.

图11. LLM将群体声音扁平化 [17]
训练与测试数据局限 除了开展实验之外,研究人员也从训练和测试时使用的数据对LLM在模拟人类社会行为的局限性进行了讨论[18-19].首先,LLM的训练数据缺少对对人类内在心理状态和个体生活经历的刻画; 第二, LLM缺少人类内在动机的决策能力;第三,LLM训练数据中存在偏差,导致结果不公平和片面;第四,许多AI基准测试直接以单一的"正确"答案作为标准,并不能准确地反映人类真实判断,且忽略了人类决策的差异和不确定性.

图12. 基准测试标注与人类实际反应之间存在显著差异[19]
[14] Huang Y, et al. Social Science Meets LLMs: How Reliable Are Large Language Models in Social Simulations?[J]. arXivpreprint arXiv:2410.23426, 2024.
[15] Bisbee J, et al. Synthetic replacements for human survey data? the perils of large language models [J]. Political Analysis, 2024, 32(4): 401-416.
[16] SanturkarS, et al. Whose opinions do language models reflect?[C]//International Conference on Machine Learning. PMLR, 2023: 29971-30004.
[17] Wang A, et al. Large language models that replace human participants can harmfully misportray and flatten identity groups[J]. Nature Machine Intelligence, 2025: 1-12.
[18] Wang Q, et al. From ChatGPT to DeepSeek: Can LLMs Simulate Humanity?[J].arXiv preprint arXiv:2502.18210, 2025.
[19] Ying L, et al. On Benchmarking Human-Like Intelligence in Machines [J]. arXiv preprint arXiv:2502.20502, 2025.

提高LLM社会模拟能力的可能途径
隐式身份提示 研究17发现使用身份编码的名字(如“Darnell Pierre”)代替身份标签(如“黑人男性”)可以一定程度上缓解上文提到的错误刻画现象,使用非敏感的人格特质(如行为特征、政治倾向等)来替代敏感的人口统计学属性,可以增加响应的多样性。

图 13. 使用隐式身份提示可以缓解错误刻画 [17]
调节token采样温度 研究17通过增加温度参数可以增加输出的多样性,但这种方法并不能完全解决单一化扁平化的问题.即使温度已经升高到不能顺利生成合理的回答,依旧不能生成和人类一样多样化的结果。

图 14. 升高温度系数可以提高多样性但不足以解决问题[17]
提供高质量的过往经历 研究20提出了一个新型的代理架构,通过与超过1000名真实个体进行深度高质量的访谈,LLM能够了解从个人生活故事到对当前社会问题的看法等广泛话题上真人个体的态度和行为.实验表明基于访谈的LLM agent能够大幅提高社会科学上的预测表现。

图15. 收集参与者数据和创建LLM agent的过程 [20]
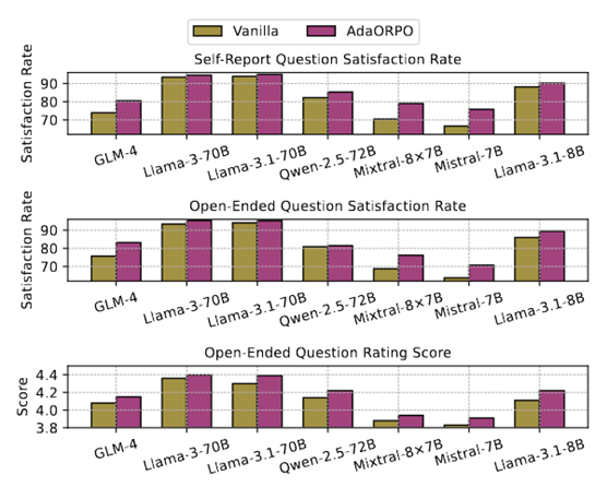
微调训练模型 研究14为了解决LLM模拟中的不一致性,提出了基于强化学习的AdaORPO算法,通过构建训练数据集,在每个批次中计算平均评分来调整学习率,结合监督微调损失和序数回归损失来更新模型参数.微调后算法能够提高满意度率,一定程度上解决一致性问题。

图16. AdaORPO训练前后效果对比 [14]
[20] Park J S, et al.Generative agent simulations of 1,000 people[J]. arXivpreprint arXiv:2411.10109, 2024.




