2025年的春节假期刚刚过去,但是DeepSeek引发的冲击波仍然余温未散。
通过FP8训练、多词元预测、改良MOE架构、多头潜在注意力机制(MLA)、无SFT强化学习等方法,DeepSeek-V3以极低的训练成本实现了超越Qwen2.5-72B和Llama-3.1-405B等顶尖开源模型和部分闭源模型的性能,DeepSeek-R1更是表现出了超越OpenAI o1的推理效果。
DeepSeek系列模型的成功,为原来以算力为核心逻辑驱动的大模型行业开辟了新的道路,让全球的基础型大模型迈上了一个崭新的台阶。
然而,在DeepSeek等以“技术叙事”为主旋律的基础型大模型之外,还有一类大模型的研发进展值得关注,那就是围绕核心产品、核心场景进行AI技术创新的应用型大模型。
中国一直以来就是应用大国。
2024年,在算力供给逐渐跟上、推理价格大幅下降的大背景下,国产AI应用异军突起——无论是文生图、文生视频领域的即梦AI、妙鸭相机、快手可灵,还是AI搜索领域的纳米搜索(原360AI搜索)、天工AI搜索,还是AI陪伴领域的星野、猫箱,抑或是AI助手类的豆包、夸克、Kimi、通义等,都在2024年迎来了用户量的爆发。
这一个个AI应用,离不开背后模型能力的支撑。对AI应用来说,应用型大模型比拼的不是模型参数,而是应用效果。
例如此前Kimi之所以能够在短时间内获得较高的关注度,与其背后大模型的长文本读取和解析能力密不可分;夸克的2亿用户量和7000万月活得益于其背后夸克大模型的“用户友好”;可灵AI强大的文生视频、图生视频功能则依赖可灵大模型的支持。
基础型大模型的进化还远未到尽头,但随着2025年越来越多的公司开始布局AI应用,应用型大模型的发展将会是配合AI应用全面爆发的必要前提。
1.为什么大厂做AI应用更有优势

随着大模型技术的成熟与突破、算力基础设施的日渐完善、国家政策的持续加码、Sora/Suno等杀手级应用的不断涌现、AI Agent/具身智能/AI玩具/AI眼镜等领域投融资的强劲增长,2025年是AI应用的爆发年,几乎已经成为科技界的广泛共识。
并且这种共识还因DeepSeek的火爆而加速。因为DeepSeek将行业基础模型能力水位推高,给AI应用营造了一个更好的发展环境。
据「甲子光年」观察,2024下半年至今,高瓴资本、经纬创投、百度风投、英诺等知名投资机构加大了对于AI应用的投资力度,尤其是瞄准AI应用领域的早期项目下注;有投资人表示,截至2024年末,一级市场真实获得融资的AI应用项目数量,比实际公布出来的项目数量至少多两倍。
Sensor Tower数据也显示,2024年,全球手机用户在AI应用上的支出达到了12.7亿美元,AI相关的应用在iOS和谷歌Play商店中的下载量高达170亿次。
然而一个残酷的现实是,AI应用千千万,真正能维持长久运营的只是少数,能爆火的更是寥寥无几。
「甲子光年」就曾经报道过一个名为“AI墓地”的网站,里面收录了738个死亡或停止运行的AI应用,其中不乏一些曾经的明星项目:比如OpenAI推出的AI语音识别产品Whisper.ai,Stable Diffusion的知名套壳网站FreewayML、StockAI,以及曾被视为是“谷歌竞争者”的AI搜索引擎Neeva等(详见《AI墓地,和738个死去的AI项目 | 甲子光年》)。
那么,究竟什么样的AI应用才是能够长久运行下去的、有生命力的?
「甲子光年」认为,一是要以模型为核心,充分发挥模型的能力;二是要有足够强的用户需求洞察能力。
微软CEO萨提亚·纳德拉曾经在展望2025年AI行业趋势时表示,“以AI模型为核心的应用将在2025年重新定义各个应用领域”。也就是说,那些套壳层级越少、距离模型越近、越是最大限度发挥模型能力的应用,越能吸引用户的使用和停留。
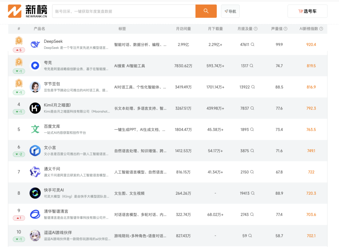
观察新榜2025年1月的AI产品榜单不难发现,在国内榜单的前十名中,有8个都是直接建立在模型之上的、AI助手类的应用。

而要对用户需求有足够强的洞察,则要依赖庞大的用户基础——只有拥有足够多的用户,用户数据和标签才能积累得足够多、足够厚,企业才能从中挖掘出用户最真实的需求痛点。
这两点也意味着:做AI应用,大厂更有优势。
大厂拥有充足的算力和人才去自研模型,可以无需进行层层套壳,直接在自研模型之上部署AI应用;大厂也拥有庞大的用户基础和成熟的流量入口,不仅用户数据更为丰富、更容易挖掘需求,也为AI应用的推广提供了天然的优势;此外,大厂强大的生态整合能力,也有助于为产品提供更为丰富的功能,增强AI应用的用户粘性。
前面提到的产品榜单也证明饿了这一点。前十个应用中,有六个都出自大厂。
在此前腾讯科技对朱啸虎最新的访谈中,朱啸虎也表示,创业公司的数据壁垒没有那么高,不适合做底层模型,而是需要在底层模型之上把“客户”抓的更紧。这也在侧面印证了大厂做AI应用的优势。
从整体来看,大厂的模型和应用也互为因果,共同构成了增长飞轮:
庞大的用户基础所提供的数据积累为模型研发提供了优质的预料,有助于增强模型能力,使之更好地适配细分场景和用户需求;而模型能力的增长则反哺应用,让应用具备更强的产品力、吸引更多用户。
这种有大体量用户基础的、由用户需求带动研发方向的、能力表现在细分场景更佳的模型, 我们或许可以给其取一个名字叫“应用大模型”。越是建立在“应用大模型”基础上的AI应用,理论上就越有机会成功跑出。
例如榜单中排名仅次于DeepSeek的夸克,就是其中的典型代表。
「甲子光年」观察到,在最近AI应用的诸神混战中,此前鲜少被提及的夸克正在默默领跑。易观分析最新数据显示,2024年底,夸克以7102万的月活跃用户量位居移动端AI应用榜首,超过了大家熟知的豆包和Kimi。

更值得关注的是“用户粘性”指标。
根据第三方报告统计,夸克的三日留存率超过40%,相比之下,同期市场上备受瞩目的豆包和Kimi智能助手的留存约为25%;七麦数据发布的《2024年度实力AI产品榜单》显示,夸克位居“年度实力AI产品App榜单”和“年度产品下载榜单”榜首,其2024年度的累计下载量超3.7亿,在各类AI产品中一骑绝尘,实现了断层式领先。
在榜单里的众多AI产品中,夸克并不是最早推出大模型的,但却在悄然间实现了访问量、下载量和用户粘性的遥遥领先。夸克凭什么能在竞争激烈的市场中杀出?
一切都得益于夸克“应用为先”的产品和模型战略。
2.应用为先,倒推大模型场景化升级

夸克从做搜索的第一天起就聚焦“智能化的精准搜索”,不仅靠着简洁无广告的界面和更加精准的搜索结果快速在市场中撕开一道口子,更是基于搜索业务,围绕学生党和上班族群体衍生出了夸克网盘、夸克扫描王、夸克文档、夸克学习等垂类产品,场景逐渐向学习和工作领域细分。
以学习领域为例,2020年中,夸克推出了“拍照搜题”功能。疫情期间,针对很多学生被封锁家中上网课、面临无法有效学习的困难,夸克学习团队又对“拍照搜题”功能进行了多次升级。
在办公领域,夸克也从“扫描”这一垂直场景出发,推出了提取文字、表格、去除笔迹、证件扫描、文档格式转换等一系列相关功能。
简约的工具底色,愈发丰富的场景应用,加之初期无广告不收费的拉新生态,让夸克的用户量得以暴增,从百万增长到了千万,累计服务用户量过亿。
2023年11月,夸克发布千亿级参数大模型“夸克大模型”。
夸克大模型是夸克基于Transformer架构、自主研发的多模态大模型,每天会对亿级的图文数据进行训练和精调,具有低成本、高响应、综合能力强等特点。面向用户需求与夸克产品垂类场景,夸克大模型更注重实际应用,衍生出通识、医疗、教育等垂类模型,以提供更专业、更精准的技术能力。
在推出夸克大模型的同一时间,夸克升级了扫描产品的AI识别效果和网盘产品的AI搜索能力。
夸克大模型的第一个落地场景是健康和医疗。
2023年12月,夸克宣布全面升级其健康搜索功能,于2023年12月推出“夸克健康助手”AI应用。“夸克健康助手”融合了医学知识图谱和生成式对话能力,为用户提供了更加全面和准确的健康信息,还支持用户针对健康问题进行多轮提问和对话。
2024年1月,夸克又相继推出“AI学习助手”、“AI听记”、“AI PPT”等功能,并于2024年7月在移动端推出了以AI搜索为中心的一站式AI服务,2024年8月发布了具备“系统级全场景AI”能力的全新夸克PC端。
比如,用户搜索“黑神话悟空取材自山西的哪些景点”。夸克超级搜索框将AI回答、原始信源和历史搜索融为一体——不仅能像其他的AI搜索一样生成智能化的总结,更是在侧边栏提供了信源展示,并在AI搜索的答案下保留了传统搜索引擎条目式的网页呈现。这提升了用户的信息获取效率,也增强了AI回答的可信度。
此外,夸克还围绕“超级搜索框”构建了一站式的信息服务体系,包括网盘、扫描、文档处理、健康助手等智能工具,实现了从检索到创作、总结,再到编辑、存储、分享的全流程服务,为用户带来了无缝的信息服务体验。
和很多大厂模仿ChatGPT推出“All in One”的Chatbot类AI助手不同,夸克的策略是“AI in All”——将AI能力融入到产品的每个环节,并落地到具体应用场景。
从最初的拍照搜题,到高考报考咨询,再到智能办公辅助,夸克的产品演进始终围绕特定场景下的用户需求展开。此后,夸克又陆续上线和更新了AI搜题、AI学术搜索、AI锦囊等功能,围绕学习和办公场景打造差异化的AI应用。

这其中,2024年11月升级的 “AI 搜题” 功能,是最能集中体现夸克AI能力的典型代表。
其实,早在2023年12月,夸克就推出了AI讲题助手。当时的AI讲题助手更多还是依赖题库这一“知识库”,AI只能教会用户做题库里的题。升级后的AI搜题产品则拥有了更强的“智能”,不仅能解答题库里原有的题目,面对新题、难题也不在话下。大模型“思维链(CoT)”的运用让夸克AI搜题能够把解题思路和做题步骤依次呈现出来,给用户提供更详细的内容解析和学习引导。
相较于同类搜题产品大多依赖题库、只能回答K12领域的题目,夸克的AI搜题产品不仅能回答K12领域的新题,还能回答考研、考公、各类资格证考试的专业题目。用户只需拍照或截图,夸克就能搜到相应题目并分步骤给出图文、视频和AI回答中的专业内容。此外,对于法律、医学等细分领域的题目,夸克“AI搜题”也能给出解答。

与此同时,夸克“AI搜题”还能借助AI能力对题目中的知识点和考点进行深度讲解,精准定位关键步骤,让用户不仅学会这一道题,更是能“举一反三”地学会这一类题。
夸克“AI搜题”的强大能力,不仅依托于夸克多年做搜索的沉淀、在学习场景中积累的足够多优质资料和用户需求,更是离不开夸克于同一时期推出的“灵知”学习大模型的支持。
“灵知”大模型是夸克技术团队在“夸克大模型”基础之上,通过多年在教育领域深耕积累的高质量数据训练而成的,不仅拥有众多顶尖模型都具备的思维链能力,更是能将思考过程转化为学生能看得懂的、更符合他们学习过程的语言。
换句话说,同样都是为学生讲解一道题,“灵知”大模型更知道要讲解哪些知识点、如何构建解题思路。
以2024年的北京高考数学真题为例,分别将其输入DeepSeek和夸克,得到的回答如下所示:



可以看到,对比DeepSeek长篇大论的思维链叙述和官方、事无巨细的回答,夸克给出的答案更加简洁,更像是在讲解一道题。
教育行业由于大量“知识讲解”和“科普”的场景,对模型的多模态能力提出了很高的要求。然而,现有的多模态模型对公式、手写笔记等的识别比较差,尤其是对图形的细粒度理解比较差。
为了解决这一问题,夸克“灵知”大模型通过大规模多模态预训练基座,构建了大规模的领域专业训练语料,同时在模型结构上,保证了更好的理解效果。
在最新评测中,夸克 “灵知”学习大模型在考研数学题上的正确率和得分率已经可以比肩OpenAI-o1,且远超国内其他模型。在多个国内数学竞赛与高考等重要测试中,夸克的正确率和得分率也处于绝对领先地位。

与DeepSeek等公司研发纯粹的基础模型能力不同,夸克研发模型是以用户需求为导向的。以AI写作为例,夸克技术团队针对夸克年轻用户写报告、论文等“长文写作”的需求,运用多阶段CoT和检索增强技术研发出了能生成8000字以上长文的夸克文创模型,保证了字数遵循效果。而即使是DeepSeek,目前也只能生成最多3000字的文章。
此外,夸克的AI写作功能还相当于一个“文字在线编辑器”,用户可以对生成的文章进行删减、润色、扩充等复杂的操作,而这背后也离不开夸克文创模型能力的支持。
可以说,在全球都在“卷”大模型参数的时候,夸克已经将更多重心放到实际应用场景中,基于用户需求出发去定向升级优化模型能力。截至目前,夸克已经形成了系统级全场景AI能力。

3.阿里AI To C加速



