01#
引言
奇智平台是为构建生成式AI原生应用而设计的生成式AI应用创建平台,通过奇智平台,我们可以将复杂的技术任务大幅简化,还能通过可视化编排构建各种类型的应用,让创意和创新更快、更好、更易实现。
我们小时候都玩过积木,通过堆砌各种颜色和形状的积木,可以构建出城堡、飞机、甚至整个城市。现在,如果有一个数字世界的积木,我们就可以用这样的“积木”来构建智能程序,这些程序能够阅读、理解和撰写文本,甚至与我们对话交流。这就是奇智平台要做的,也是奇智已经做到的,它就像是一件庞大的积木套装,等待AI应用的创意者们来发掘和搭建。
02#
奇智平台简介



03#
Prompt工程
奇智平台的核心价值之一就是它提供了标准的模型接口,方便我们可以自由的切换不同的模型,包括文本、图片、视频、音频、多模态等模型。
说到模型,大家可以把模型按ChatGPT来理解,单纯的模型只能生成文本内容,随着大模型的不断发展,模型的跨模态能力在不断增强,包括:
1.普通LLM:接收文本字符串作为输入,并返回文本字符串作为输出。
2.聊天模型:将聊天消息列表作为输入,并返回一个聊天消息。
3.视觉模型:将接受的文本和图片或视频作为输入,并返回文本字符串作为输出。
4.语音模型:将接受的语音作为输入,并返回文本字符串作为输出。
奇智平台提供了统一的Prompt工程,支持Prompt的编排、调试、优化、版本管理,方便我们更容易的构建出我们想要的Prompt模板,我们可以保存Prompt模板,重复使用。基于平台,我们可以快速实现Prompt工程的搭建和调优,常见的功能流程如下图。

04#
RAG Pipeline
为了解决纯参数化模型的局限,语言模型可以采取半参数化方法,将非参数化的语料库数据库与参数化模型相结合。这种方法被称为RAG(Retrieval-Augmented Generation)。
1.RAG的整体流程
RAG整体业务链路主要分为5大步骤:知识生产与加工、Query改写、数据召回、后置处理以及大模型生产。

奇智平台在Native RAG的基础上,结合Advanced RAG和RAG-Fusion等方案提供了多种通用RAG能力:
知识切片:按固定字符切分、冗余切分、按句子语义切分、正则切分等。
查询生成/改写:使用 LLM 模型对用户的初始查询,进行改写生成多个查询。
向量搜索:对每个生成的查询进行基于向量的搜索,形成多路搜索召回。
倒数排序融合:应用倒数排名融合算法,根据文档在多个查询中的相关性重新排列文档。
重排: 使用一些重排算法对结果进行重排。
输出生成:参考重新排列后的topK搜索结果,生成最终输出。
2.RAG平台化方案
为方便用户使用,奇智平台提供了可视化的RAG Pipeline构建,方便快速搭建RAG应用,下面是奇智RAG的架构图。

RAG平台提供了知识库管理、RAG应用编排与调试,支持一键部署各类开源的热门Embedding模型,支持Rerank重排、多版本管理、数据与标注等。
同时供了一系列的功能模块和API服务,包括分块服务、Embedding、向量服务、知识库服务等,对有深入定制化需求的业务,可通过API灵活组合构建更定制化的RAG应用。
在平台上可以通过可视化编排的方式,快速搭建一个RAG应用,然后通过调用应用API的方式将应用集成在工程项目中:

05#
工作流
-
对话工作流:面向对话类情景,需要在构建响应时进行多步逻辑的对话式应用程序。 -
文本工作流:面向自动化和批处理情景,适合高质量翻译、数据分析、内容生成等应用程序。


|
环节 |
节点类型 |
说明 |
|
开始 |
开始节点 |
开始节点用于接收用户问题,将用户输入赋值给变量,透传给后续的节点。 |
|
识别用户意图 |
问题分类节点 |
在节点中填写分类信息。该节点会对用户的问题进行分类,并根据分类将问题转交给不同的分支进行处理。 如:监控类的问题则转交给监控的分支处理。 |
|
处理用户问题 |
知识库节点、大模型节点 |
|
|
结束 |
结束节点 |
输出智能体的回复内容。可以通过输出变量直接引用前置节点的数据,进行回复内容的输出。 |
06#
插件
插件是大模型能力的拓展,通常通过调用外部API的方式来进行大模型的能力拓展,例如OpenAI调用插件的流程如下图:

奇智平台在参考OpenAI的插件流程和插件描述规范的基础上,设计实现了一套自定义插件的开发流程,并基于Function call、ReAct等能力进行插件的识别和调用,从用户输入中提取插件所需的参数,进行插件API的调用,然后再通过大模型进行插件API回复结果的总结。下图展示了基于Function call的插件流程:

对于用户来说,在奇智平台创建自定义插件的流程较为简单。用户在编写好插件的API描述ibrain.yaml文件后,上传到奇智平台,验证通过后,则可创建插件。创建完成后就能在各个应用中使用以拓展大模型的能力。插件创建的流程如下图:

07#
Agent
奇智支持通过基础模板和自由创建的方式来创建智能体。
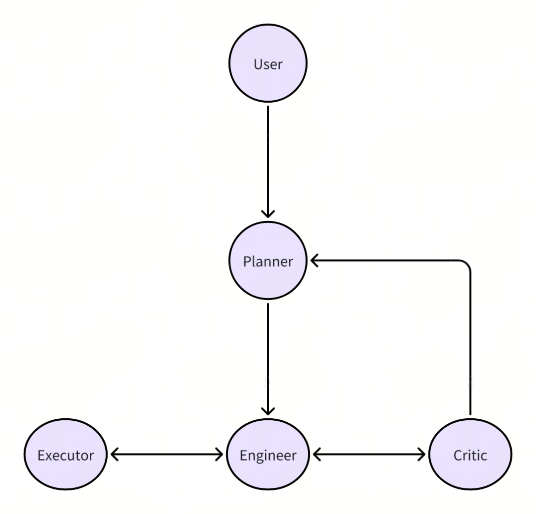
根据复旦大学自然语言处理团队(FudanNLP)LLM-based Agents 综述论文<<The Rise and Potential of Large Language Model Based Agents: A Survey>>,提到了“Agent = LLM + 感知 + 规划 + 记忆 +工具使用”的基础架构,其中大模型LLM扮演了Agent的“大脑”,在这个系统中了提供推理、规划等能力。整体架构如下图所示:

Agent这个框架包含多个部分,分别是感知(Perception)、规划(Planning)、记忆(Memory)、动作(Action)等,分别简单介绍下:
-
感知(Perception): 从外部环境接收处理多模态信息。
-
规划(Planning):主要包括子目标分解、反思与改进。
-
记忆(Memory):包括短期记忆和长期记忆。
-
动作(Action):使用文字或者工具(调用外部API来获取模型权重中缺少的额外信息,包括当前信息,代码执行能力,访问专有信息源等。)来完成执行的操作,从而对外部的环境造成影响。

"relationship_graph": {
"planner": ["engineer"],
"engineer": ["executor", "critic"],
"critic": ["engineer", planner],
"executor": ["engineer"]
}

08#
Memory(即将上线)
奇智平台提供简单的设置,供业务开启Agent记忆功能,打开记忆功能之后,业务场景中和Agent的互动将会被记录,并根据业务的预先设定要求转换为长期记忆。转换过程主要涉及一些互动过程中的事实提取,现有长期记忆的更新,删除等等。当业务场景中再次与Agent互动时,记忆服务将根据此时的上下文传入最相关的长期记忆,为业务场景提供更加贴切的使用效果。
记忆应用案例:
用户和大模型应用交谈中透露了自己的设定喜好,但是在多轮对话后被遗忘(模型答非所问):
1.用户:唱一首歌给我听。
2.应用:我只会唱流行歌曲,可以吗?
3.用户:可以,我喜欢周杰伦。
4.应用:好的(清嗓子), 开始唱菊花台。
5.……(超过100轮)
6.用户:播一首我喜欢的歌曲。
7.应用:好的,你喜欢什么歌曲呢?
在对话达到一定轮数后使用记忆功能存储并提取转换,我们就有了人物关键喜好设定的信息,下次可以根据用户的输入提取出相关重要信息(比如用户喜好)。

09#
应用案例:10分钟构建AI机器人
在奇智平台上,只需要10分钟,不需要写一行代码,就可以创建一个有大模型能力加持的 AI 机器人。这个机器人可以全天候(7×24)响应用户咨询,还能解答私域问题,成为业务的专属机器人。
在奇智平台上创建一个 AI 机器人非常便捷:
-
创建一个大模型应用,包括对话、插件、工作流、Agent等类型应用。
-
应用创建完后申请API权限,然后在奇智平台上提交创建飞书机器人的表单,将应用转为飞书机器人。
-
还可以为机器人添加私有领域知识,开启知识检索增强(RAG),添加Memory支持长期记忆等,逐步丰富扩展机器人的能力,更好地对接完成用户的咨询。

10#
展望


