多智能体系统(Multiagent Systems, MAS)是由多个自治代理(agents)组成的复杂系统,这些代理通过相互作用来实现个体和集体目标。在这些系统中,资源交换是实现这些目标的关键手段之一。代理之间的资源交换不仅涉及到资源的分配和再分配,还需要考虑代理的偏好、策略和动态行为。这种复杂的交互过程在许多实际应用中都有重要意义,例如合作问题解决、共享经济和分布式计算等。
资源交换的有效性和公平性直接影响到多智能体系统的整体性能和稳定性。为了确保资源交换过程的合理性,必须对代理的行为进行建模和形式化描述,从而制定出能够反映代理需求和偏好的交换策略。这不仅有助于提高系统的效率,还能促进代理之间的合作与竞争,最终实现资源的最优配置。
8月 20 日发表的论文《A Logic for Policy Based Resource Exchanges in Multiagent Systems》提出了一种基于策略的资源交换逻辑,旨在解决多智能体系统中资源交换的建模和验证问题。研究团队提出了交换环境的概念,作为代理指定和遵守交换策略的形式化设置。交换策略是关于代理提供和要求资源的声明。引入了线性逻辑的可判定扩展,用于表示交换环境并研究其动态性。CEL结合了线性和契约方面,处理循环性问题,并通过证明相应公式来验证交换协议。通过定义估值函数,评估资源交换的有效性,确保交换对所有参与代理都是有利的。扩展逻辑以处理代理在资源不足时产生的临时债务,确保交换过程的灵活性和可行性。
研究成果为多智能体系统中的资源交换提供了一个强大的逻辑工具,能够有效地处理复杂的交换协议和动态行为,促进了多智能体系统在实际应用中的广泛应用。
这项研究由来自意大利和英国的研究人员共同完成,他们分别在IMT卢卡高级研究学院、比萨大学和伦敦国王学院工作,专注于多智能体系统中的资源交换逻辑研究。成员有Lorenzo Ceragioli、Pierpaolo Degano、Letterio Galletta和Luca Viganò,这个团队结合了不同学术背景和研究领域的专家,致力于推动多智能体系统中资源交换逻辑的前沿研究。
在多智能体系统中,交换环境是一个形式化的框架,用于描述代理之间的资源交换过程。交换环境的核心是定义代理如何在遵循特定策略的情况下进行资源交换。论文提出的交换环境模型通过引入交换策略和资源分配的概念,提供了一种系统化的方法来捕捉代理的动态行为和资源管理。
交换环境被定义为一个状态转换系统,其中状态表示资源的分配,转换表示代理之间的资源交换。每个状态记录了每个代理拥有的资源,而转换则表示资源从一个代理转移到另一个代理的过程。通过这种方式,交换环境能够准确地描述资源在多智能体系统中的流动和分配。
资源分配是交换环境中的一个基本概念,它描述了在特定时刻每个代理拥有的资源数量。形式上,资源分配可以表示为一个函数,该函数将每个代理与其拥有的资源集合相关联。资源分配的定义确保了资源的总量保持不变,即资源不能被凭空创造或销毁。
资源转移是指资源从一个代理转移到另一个代理的过程。一个资源转移可以表示为一个三元组,其中包含资源的发送者、资源的接收者和转移的资源类型。多个资源转移可以组合成一个资源交换,表示在一次交换中发生的所有资源转移。
在交换环境中,状态表示资源的当前分配,而转移表示资源从一个状态到另一个状态的变化。准确的说,状态是一个资源分配的实例,而转移是由一组资源转移组成的资源交换。一个有效的转移必须满足以下条件:
-
-
转移后的资源分配必须正确更新,确保资源的总量保持不变。
通过定义这些条件,交换环境能够确保资源交换过程的合理性和一致性。此外,交换环境还允许代理形成联盟,通过共享策略来实现共同的目标。联盟策略规定了在什么条件下代理愿意进行资源交换,从而调节竞争和合作行为。
交换环境的逻辑建模为多智能体系统中的资源交换提供了一个强大的工具,能够有效地捕捉代理的动态行为和资源管理过程。这种形式化的方法不仅提高了系统的效率,还促进了代理之间的合作与竞争,最终实现资源的最优配置。
在多智能体系统中,交换策略是代理用来表达其资源交换条件的规则集合。每个策略明确规定了代理在什么条件下愿意进行资源交换,以及在交换中希望得到什么资源。交换策略的主要作用是确保资源交换过程符合代理的偏好和需求,从而实现资源的有效分配和利用。
交换策略不仅仅是简单的资源交换规则,它们还可以调节代理之间的竞争与合作行为。通过定义明确的交换策略,代理可以在资源交换中保持灵活性和自主性,同时确保交换过程的公平性和透明度。这对于多智能体系统的稳定运行和整体性能至关重要。
单代理策略是指单个代理在资源交换中的策略规则。以下是一个示例:
-
Alice (A) 喜欢奇异果 (k) 而 Bob (B) 喜欢柠檬 (l)。Alice 的策略是用柠檬换取 Bob 的奇异果:
在这个策略中,Alice 规定了她愿意在 Bob 给她奇异果的情况下,给 Bob 柠檬。
联盟策略是指多个代理组成联盟,共同制定的交换策略。以下是一个示例:
-
Alice (A) 和 Carl © 组成联盟,Carl 愿意用柠檬 (l) 支付给任何给 Alice 奇异果 (k) 的代理:
在这个策略中,Alice 和 Carl 通过联盟策略实现了资源的共享和互助,Carl 愿意为 Alice 的资源交换提供支持。
交换策略在资源交换决策中起着至关重要的作用。具体来说,策略影响资源交换的决策方式如下:
-
确定交换条件:代理通过策略明确规定了在什么条件下愿意进行资源交换。这确保了资源交换过程符合代理的需求和偏好。
-
调节竞争与合作:策略可以调节代理之间的竞争与合作行为。例如,通过联盟策略,代理可以形成合作关系,共同实现资源的最优配置。
-
提高交换效率:明确的策略规则可以减少资源交换过程中的不确定性和冲突,提高交换的效率和成功率。
-
确保交换公平性:策略规定了资源交换的公平性标准,确保所有参与交换的代理都能从中受益,避免不公平的交换行为。
通过定义和遵守交换策略,多智能体系统中的代理能够在资源交换中保持灵活性和自主性,同时确保交换过程的公平性和透明度。这不仅提高了系统的整体性能,还促进了代理之间的合作与竞争,最终实现资源的最优配置。
在多智能体系统中,估值函数用于量化资源对每个代理的价值。每个代理根据其偏好和需求,对不同资源赋予不同的价值。估值函数不仅可以是正值(表示资源对代理有正面价值),也可以是负值(表示资源对代理有负面价值)。形式上,估值函数可以表示为
,其中St是资源分配的状态集合,Va是代理a对状态St的估值。
估值函数在资源交换中的应用主要体现在以下几个方面:
-
评估资源分配:通过估值函数,代理可以评估当前资源分配的总价值,从而判断资源分配是否符合其利益。
-
决策支持:估值函数为代理提供了一个量化的标准,帮助其在资源交换决策中做出理性选择。
-
优化资源配置:通过比较不同资源分配的估值,代理可以选择最优的资源交换方案,实现资源的最优配置。
在多智能体系统中,交易是指在资源交换过程中,所有参与代理的估值都不降低的交换。具体来说,给定一个联盟 (C) 和一个交换 (exc),如果所有参与的代理在交换后估值不降低,则该交换对 (C) 是有利的,即为一个交易。形式上,交易可以定义为:
是 (C) 的交易,当且仅当对所有 (a in C),有 (va(st’) geq va(st)),其中 (st) 和 (st’) 分别是交换前后的状态。
-
提高联盟的整体效用:通过交易,联盟中的所有代理都能从资源交换中受益,从而提高联盟的整体效用。
-
促进合作:交易确保了资源交换的公平性和互惠性,促进了代理之间的合作。
-
增强联盟的稳定性:通过交易,联盟中的代理能够实现资源的最优配置,从而增强联盟的稳定性和持久性。
策略与交易之间存在密切的关系。具体来说策略规定了代理在资源交换中的行为规则,而交易则是这些规则的具体实现。为了确保资源交换过程的公平性和有效性,需要验证策略是否能够产生交易。
-
策略的健全性:一个策略是健全的,当且仅当它只接受对联盟有利的交易。即策略中的每条规则都保证支付的价值大于贡献的损失。
-
策略的完备性:一个策略是完备的,当且仅当它接受所有对联盟有利的交易。即策略能够识别并接受所有可能的交易。
-
理性策略:一个策略是理性的,当且仅当它既健全又完备。理性策略确保了资源交换的公平性和有效性。
通过定义和验证策略与交易的关系,可以确保多智能体系统中的资源交换过程符合代理的需求和偏好,从而实现资源的最优配置和系统的稳定运行。
策略的健全性:策略的健全性确保了每个被接受的交换都是对联盟有利的。具体来说,如果策略 (polC) 接受一个交换 (exc),并且每个规则 (exc’’ triangleleft exc’) 都保证对所有 (a in C),有 (W(a, exc’’ cup exc’) geq 0),则 (exc) 对 (C) 是一个交易。
策略的完备性:策略的完备性确保了所有对联盟有利的交易都被策略接受。为了验证策略的完备性,可以通过穷举分析所有可能的资源交换,确保策略能够识别并接受所有有利的交易。
理性策略:理性策略既健全又完备,确保了资源交换的公平性和有效性。通过构建理性策略,可以确保多智能体系统中的资源交换过程符合代理的需求和偏好,实现资源的最优配置。
通过定义和验证策略与交易的关系,可以确保多智能体系统中的资源交换过程公平、有效,并符合代理的需求和偏好,从而实现资源的最优配置和系统的稳定运行。
合同交换逻辑(Contractual Exchange Logic, CEL)是一种扩展的线性逻辑,用于形式化和验证多智能体系统中的资源交换协议。CEL 的核心思想是通过逻辑命题和推理规则来描述和验证资源交换的过程,确保交换过程的公平性和有效性。

-
命题:CEL 命题用于表示资源的所有权和交换。例如,r@a表示资源r目前属于代理a,而r@a → r@a'表示资源从代理a转移到代理a'。
-
线性契约蕴涵:CEL 引入了线性契约蕴涵
,用于表示在满足条件
的情况下,承诺执行。这种蕴涵关系捕捉了资源交换中的合同和承诺。
-
序列:CEL 序列用于表示资源交换的状态转换。例如,
表示在假设
下,可以推导出状态。
CEL 在资源交换中的应用主要体现在以下几个方面.
-
表示资源交换协议:通过 CEL 命题和序列,可以形式化地表示资源交换协议,确保协议的准确性和一致性。
-
验证资源交换过程:通过 CEL 的推理规则,可以验证资源交换过程是否符合协议,确保交换的公平性和有效性。
-
处理复杂交换场景:CEL 可以处理多代理之间的复杂交换场景,包括循环交换和多方交换,确保所有参与代理的利益。
CEL 结合了线性逻辑和契约逻辑的特点,提供了一种强大的工具来处理多智能体系统中的资源交换问题。线性逻辑的特点是资源的使用是一次性的,即资源在使用后不能重复使用或丢弃。这种特性非常适合描述资源的分配和转移过程。
契约逻辑则引入了合同和承诺的概念,通过契约蕴涵来表示代理之间的承诺关系。CEL 中的线性契约蕴涵(
)是契约逻辑的一个扩展,用于表示资源交换中的合同关系。
通过结合线性逻辑和契约逻辑,CEL 能够形式化地表示和验证资源交换协议,确保交换过程的公平性和有效性。这种结合不仅提高了逻辑的表达能力,还增强了其在实际应用中的适用性。
CEL 的一个重要特点是其证明过程的规范化和可判定性。证明规范化意味着每个初始序列的证明都可以转换为一种标准形式,从而简化了证明过程。CEL 的证明规范化包括以下几个步骤:
-
初始序列:定义初始序列的形式,例如
。
-
规范化过程:将初始序列的证明转换为规范形式,确保证明过程的一致性和简洁性。
-
验证有效性:通过规范化的证明过程,验证初始序列在 CEL 中的有效性。
CEL 的可判定性意味着存在一个总是终止的算法,可以决定初始序列在 CEL 中是否有效。这一特性确保了 CEL 在实际应用中的可操作性和可靠性。具体来说,CEL 的可判定性通过以下步骤实现:
-
规范化证明:将初始序列的证明转换为规范形式,简化证明过程。
-
算法验证:设计一个总是终止的算法,通过规范化的证明过程验证初始序列的有效性。
CEL 通过结合线性逻辑和契约逻辑,提供了一种强大的工具来形式化和验证多智能体系统中的资源交换协议。其证明规范化和可判定性确保了逻辑的可操作性和可靠性,为多智能体系统中的资源交换提供了坚实的理论基础。
在多智能体系统中,资源交换通常要求代理在交换时必须拥有所承诺的资源。然而,在某些情况下,代理可能需要在资源不足的情况下进行交换,从而产生临时债务。为了处理这种情况,论文扩展了交换环境的定义,允许代理在资源不足时进行交换,并在后续的交换中偿还债务。
一个债务交换环境是一个状态转换系统,其中状态表示资源的分配,转换表示代理之间的资源交换。与传统的交换环境不同,债务交换环境允许代理在资源不足时进行交换,形成临时债务。债务交换环境中的状态转换必须满足以下条件,一是代理在交换时可以暂时欠债,即允许代理在资源不足的情况下进行资源转移。二是代理在后续的交换中必须偿还债务,确保资源的总量保持不变。
通过引入债务交换环境,可以更灵活地处理多智能体系统中的资源交换,允许代理在资源不足时进行交换,从而提高系统的灵活性和适应性。
为了处理临时债务,论文扩展了合同交换逻辑(CEL),引入了新的推理规则和操作符。这些扩展确保了代理在资源不足时能够进行交换,并在后续的交换中偿还债务。
具体来说,扩展后的 CEL 包括以下几个关键部分:
-
债务转移规则:引入新的推理规则,允许代理在资源不足时进行资源转移。例如,r@a → r@a'表示资源从代理a转移到代理a',即使代理a当前没有足够的资源。
-
债务偿还规则:引入新的推理规则,确保代理在后续的交换中偿还债务。例如,r@a' → r@a表示代理a'在后续的交换中将资源偿还给代理a。
-
扩展的契约蕴涵:扩展线性契约蕴涵,允许代理在资源不足时进行交换,并在后续的交换中偿还债务。例如,
表示在满足条件的情况下,承诺执行
,即使代理当前没有足够的资源。
通过这些逻辑扩展,CEL 能够处理多智能体系统中的临时债务,确保资源交换过程的灵活性和可行性。
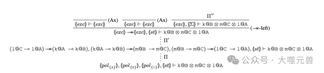
为了展示扩展后的 CEL 在实际应用中的效果,论文提供了一个具体的应用示例:
假设代理 A 和 B 想要交换资源 l 和 m,但 A 当前没有足够的资源 l。通过扩展后的 CEL,A 可以在资源不足的情况下进行交换,并在后续的交换中偿还债务。
-
初始状态:A 没有资源 l,B 有两个资源 m,C 有一个资源 l。
-



-
通过扩展后的 CEL,可以验证上述交换过程的有效性,确保资源交换的公平性和可行性。
扩展后的 CEL 通过引入处理临时债务的逻辑扩展,提供了一种灵活的工具来处理多智能体系统中的资源交换问题。通过这些扩展,代理可以在资源不足的情况下进行交换,并在后续的交换中偿还债务,从而提高系统的灵活性和适应性。
资源交换在多智能体系统中的建模和分析是一个广泛研究的领域。
资源感知游戏和问题:Harland等人展示了如何使用线性逻辑来推理代理之间的谈判,编码代理的目标和提供的资源。线性逻辑证明可以识别满足所有参与方的谈判结果。
合作问题解决:Küngas等人提出了一种合作问题解决模型,使用线性逻辑编码代理的资源、目标和能力。代理通过部分推导找到可能的交易,并与其他代理协商以找到合作解决方案。
分布式资源分配:Porello等人研究了分布式资源分配,使用线性和仿射逻辑编码资源所有权和转移,以及用户偏好的估值函数。他们展示了逻辑证明如何区分互惠的交换,并证明任何序列的个体理性交易总会收敛到最大社会福利的分配。
这些研究工作为资源交换的逻辑建模提供了重要的理论基础,展示了如何使用逻辑工具来描述和分析多智能体系统中的资源交换过程。

合同逻辑是用于建模和验证代理之间合同和承诺的逻辑工具。
PCL(契约逻辑):Bartoletti和Zunino提出了PCL(契约逻辑),用于建模契约推理。PCL引入了契约蕴涵(→ →),用于表示在满足条件的情况下,承诺执行某个操作。
-
线性逻辑的计算片段:Kanovich提出了线性逻辑的计算片段,用于推理消耗性资源的计算。该逻辑片段为处理资源交换和合同提供了理论基础。
这些研究工作展示了合同逻辑在建模和验证代理之间合同和承诺方面的应用,为多智能体系统中的资源交换提供了重要的理论支持。
论文在现有研究的基础上,提出了一种新的基于策略的资源交换逻辑,具有以下创新点。
-
交换环境的定义:论文提出了交换环境的概念,作为代理指定和遵守交换策略的形式化设置。这一概念结合了描述性和规范性的方法,直接建模代理通过交换策略提供的资源。
-
计算交换逻辑 (CEL):论文引入了线性逻辑的可判定扩展,用于表示交换环境并研究其动态性。CEL结合了线性和契约方面,处理循环性问题,并通过证明相应公式来验证交换协议。
-
策略与估值函数的结合:论文通过定义估值函数,评估资源交换的有效性,确保交换对所有参与代理都是有利的。这一方法不仅提高了资源交换的公平性,还促进了代理之间的合作与竞争。
-
处理临时债务:论文扩展了CEL,以处理代理在资源不足时产生的临时债务,确保资源交换过程的灵活性和可行性。这一扩展增强了逻辑的表达能力和适用性。
论文通过引入新的概念和逻辑工具,为多智能体系统中的资源交换提供了一个强大的理论框架,能够有效地处理复杂的交换协议和动态行为,促进了多智能体系统在实际应用中的广泛应用。
论文《A Logic for Policy Based Resource Exchanges in Multiagent Systems》提出了一种基于策略的资源交换逻辑,旨在解决多智能体系统中资源交换的建模和验证问题。为多智能体系统中的资源交换提供了一个强大的逻辑工具,能够有效地处理复杂的交换协议和动态行为,促进了多智能体系统在实际应用中的广泛应用。
扩展CEL的表达能力:引入全称量词、析取和否定,以表达更丰富和复杂的策略。这将使CEL能够处理更多样化的资源交换场景和策略。
资源的创建、销毁和转换:研究如何在交换过程中创建、销毁和转换资源。这些操作在实际应用中非常常见,例如制造业中的生产过程和供应链管理。
实际应用场景的建模:将CEL应用于实际场景,如区块链系统中的加密资产交换、共享经济平台中的资源共享等。通过实际应用验证CEL的有效性和实用性。
算法优化:开发高效的算法来验证资源交换协议的有效性,特别是在处理大规模多智能体系统时,提高算法的性能和可扩展性。
论文提出的基于策略的资源交换逻辑在多个实际应用场景中具有广泛的应用前景。
区块链和加密资产交换:在区块链系统中,资源交换逻辑可以用于验证和执行智能合约,确保加密资产的公平交换和交易的透明性。
共享经济平台:在共享经济平台中,资源交换逻辑可以用于管理用户之间的资源共享和交易,确保资源的有效分配和使用。
供应链管理:在供应链管理中,资源交换逻辑可以用于优化供应链中的资源分配和调度,提高供应链的效率和灵活性。
合作问题解决:在合作问题解决中,资源交换逻辑可以用于协调多个代理之间的合作,确保资源的合理分配和任务的有效完成。
总之,论文提出的基于策略的资源交换逻辑为多智能体系统中的资源交换提供了一个强大的理论框架,具有广泛的应用前景和实际价值。未来的研究可以在此基础上进一步扩展和深化,推动多智能体系统在各个领域的应用和发展。(END)
参考资料:https://arxiv.org/pdf/2408.09516

波动世界(PoppleWorld)是噬元兽数字容器的一款AI应用,是由AI技术驱动的帮助用户进行情绪管理的工具和传递情绪价值的社交产品,基于意识科学和情绪价值的理论基础。波动世界将人的意识和情绪作为研究和应用的对象,探索人的意识机制和特征,培养人的意识技能和习惯,满足人的意识体验和意义,提高人的自我意识、自我管理、自我调节、自我表达和自我实现的能力,让人获得真正的自由快乐和内在的力量。波动世界将建立一个指导我们的情绪和反应的价值体系。这是一款针对普通人的基于人类认知和行为模式的情感管理Dapp应用程序。